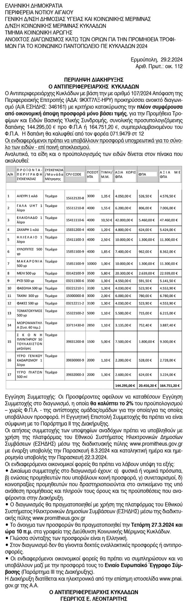
Προμήθεια ειδών και τροφίμων Κοινωνικού Παντοπωλείου ΠΕ Κυκλάδων Κείμενο Βλέπε εικόνα. Αριθμός Φύλλου: Αριθμός Φύλλου 6321 Κατηγορία: Κατηγορία Προκήρυξη Έργων - Δημοπρασίες