Αναφορικά με τη λειτουργία του ΧΥΤΑ στο “Κοράκι” ζητά 600 χιλ. ευρώ για το 2021 και πάνω από 1 εκατ. ευρώ είναι η εισήγηση για το 2022

Υπέρογκο “χαράτσι” στη Σύρο από τον περιφερειακό ΦΟΔΣΑ

Συνέντευξη στον Αντιδήμαρχο Οικονομικών, Γ. Πιταούλη για το σοβαρότατο θέμα που προκαλεί “πονοκέφαλο” στον Δήμο

Τεράστια αύξηση των χρημάτων που απαιτούνται για τη λειτουργία του ΧΥΤΑ Σύρου από τον περιφερειακό ΦΟΔΣΑ Ν. Αιγαίου ζητά με απόφασή της η Γενική Συνέλευση του Φορέα, με αποτέλεσμα ο Δήμος Σύρου – Ερμούπολης να έρχεται αντιμέτωπος με ένα “χαράτσι” ύψους άνω των 600 χιλ. ευρώ για το τρέχον έτος.

Πρόκειται για μία απόφαση που γνωρίζει η Δημοτική Αρχή και για την οποία ο Αντιδήμαρχος Οικονομικών, Γιάννης Πιταούλης δουλεύει συστηματικά, προκειμένου να επιτύχει την καταβολή μειωμένου ποσού, τεκμηριωμένα και με επιχειρήματα.

Στη συνέντευξη του ίδιου προς την “Κοινή Γνώμη”, ρωτήθηκε σχετικά με τη σοβαρή υπόθεση της διαχείρισης πλέον του ΧΥΤΑ από τον περιφερειακό ΦΟΔΣΑ, σημειώνοντας πως η επιβάρυνση για τον Δήμο φαίνεται ξεκάθαρα πως είναι πολύ μεγάλη, αν συνυπολογίσει κάποιος πως όταν η ευθύνη του κυττάρου παρέμενε στον Δήμο και τον κατηργημένο πλέον ΦΟΔΣΑ Σύρου – Ερμούπολης, το σχετικό ποσό δεν ξεπερνούσε τις 250 χιλ. ευρώ.

Συγκεκριμένα, ο κ. Πιταούλης στις απαντήσεις του, υπενθύμισε πως τόσο η ανακύκλωση, όσο και η λειτουργία του ΧΥΤΑ δεν “άγγιζε” ετησίως το ποσό των 400 χιλ. ευρώ, με αποτέλεσμα, σήμερα, η Δημοτική Αρχή να είναι ιδιαιτέρως προβληματισμένη για τον τρόπο διαχείρισης της κατάστασης.

Ειδικότερα, στις δηλώσεις του, ο αρμόδιος Αντιδήμαρχος ανέπτυξε τις κινήσεις που γίνονται από τον Δήμο, ώστε να περιορίσει τα χρήματα που θα φύγουν από το δημοτικό ταμείο, ενώ ξεκαθάρισε, πως, οι δημότες της Σύρου οφείλουν να ενημερώνονται για τους λόγους των όποιων αυξήσεων αποφασίζει ο περιφερειακός ΦΟΔΣΑ, αφού συνολικά η Καθαριότητα είναι ανταποδοτική υπηρεσία.

Επιπλέον, γνωστοποίησε πως η πρόταση για την αντίστοιχη επιβάρυνση του Δήμου κατά το 2022, περιλαμβάνει ποσό άνω του 1 εκατ. ευρώ, κάτι που ξεκαθάρισε πως θα είναι μη διαχειρίσιμο, αν τελικώς ληφθεί η συγκεκριμένη απόφαση από τη Γενική Συνέλευση του Φορέα και απαιτηθεί η εκτέλεσή της.

Ο κ. Πιταούλης μίλησε ενόψει της έγκρισης του προϋπολογισμού του Δήμου Σύρου – Ερμούπολης για το 2022, αναφορικά με όλα τα παραπάνω, ενώ το θέμα δεν αποκλείεται να απασχολήσει το Δημοτικό Συμβούλιο, σε επόμενη μονοθεματική συνεδρίασή του.

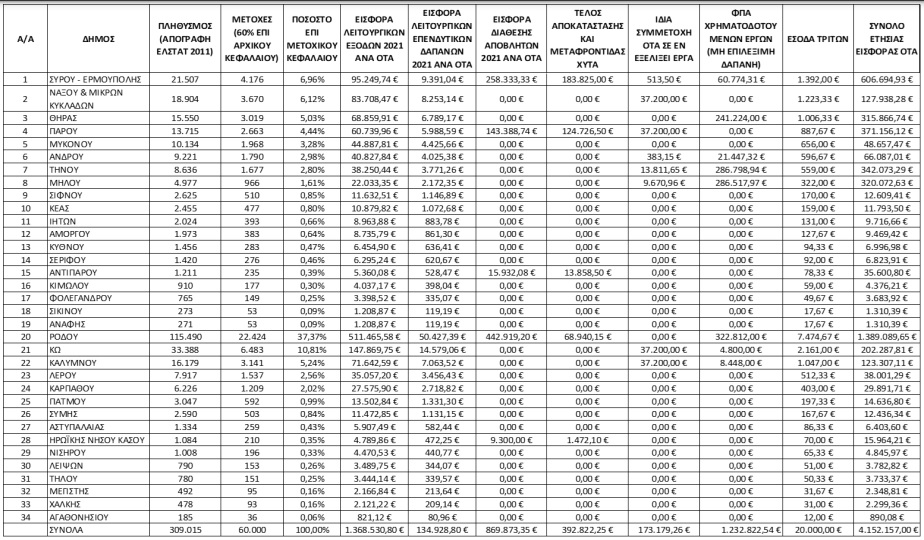
Προλογικά σχετικά με το ποσό των 606.694,93 ευρώ που ζητείται για το 2021, πρέπει να διευκρινιστεί πως επιμερίζεται ως εξής: Εισφορά λειτουργικών εξόδων 95.249,74 ευρώ, εισφορά λειτουργικών επενδυτικών δαπανών 9.391,04 ευρώ, εισφορά διάθεσης αποβλήτων 258.333, 33 ευρώ, τέλος αποκατάστασης και μεταφροντίδας του ΧΥΤΑ 183.825 ευρώ, ιδια συμμετοχή ΟΤΑ σε εν εξελίξει έργα 513,50 ευρώ, ΦΠΑ χρηματοδοτούμενων έργων 60.774,31 ευρώ και έσοδα τρίτων 1.392 ευρώ.

Σημειώνεται πως για κάθε νησί του Ν. Αιγαίου τα ποσά για το έτος 2021 περιλαμβάνονται στον πίνακα που συνοδεύει το ρεπορτάζ.

  • Εγκρίθηκε το τεχνικό πρόγραμμα του Δήμου, ωστόσο ακόμη δεν έχει ψηφιστεί ο προϋπολογισμός για το 2022. Πότε θα θέσετε το θέμα του οικονομικού προγραμματισμού για την επόμενη χρονιά, προς συζήτηση στα αρμόδια συλλογικά όργανα;

“Επίσημα τον έχουμε κλείσει τον προϋπολογισμό στο τεχνικό κομμάτι. Υπολογίζουμε την επόμενη εβδομάδα ότι θα περάσει από την Οικονομική Επιτροπή το προσχέδιο και εν συνεχεία θα εγκριθεί από το Παρατηρητήριο. Αυτό περιμένουμε να γίνει άμεσα και εφόσον δεν υπάρξουν παρατηρήσεις, θα προχωρήσουμε άμεσα στη σύγκληση του δημοτικού συμβουλίου για να εγκριθεί.”.

  • Σχετικά με τον προγραμματισμό στα οικονομικά του Δήμου, ένα από τα θέματα που απασχολούν είναι το ποσό που θα πρέπει να καταβάλει ο Δήμος στον Περιφερειακό ΦΟΔΣΑ για τη λειτουργία του ΧΥΤΑ. Τί συμβαίνει με αυτό το θέμα; Γνωρίζετε τι ποσό ζητά ο ΦΟΔΣΑ Ν. Αιγαίου από τον Δήμο;

“Το κομμάτι των τελών που καταβάλλει ο Δήμος προς τον περιφερειακό Φορέα σε μεγάλο βαθμό, επηρεάζει τα δημοτικά τέλη που καταβάλλουν οι δημότες. Υπενθυμίζω πως τα τέλη ηλεκτροφωτισμού και καθαριότητας είναι μία ανταποδοτική υπηρεσία. Αυτό σημαίνει ότι οι δημότες τα καταβάλλουν κυρίως μέσω των λογαριασμών της ΔΕΗ και στη συνέχεια ο Δήμος, από αυτά τα έσοδα πληρώνει τα έξοδα της συγκεκριμένης Υπηρεσίας, δηλαδή τις μισθοδοσίες της Καθαριότητας που είναι και το μεγαλύτερο κομμάτι του κόστους και τα υπόλοιπα λειτουργικά είτε αυτά αφορούν καύσιμα ή διάφορες προμήθειες για ηλεκτροφωτισμό και συντήρηση των οχημάτων. Επίσης, ένα σημαντικό κόστος αφορά στην αποκομιδή της ανακύκλωσης και τη λειτουργία του ΧΥΤΑ. Είναι δύο κομμάτια που μέχρι το 2020 είχε την ευθύνη τους ο ΦΟΔΣΑ, το Νομικό Πρόσωπο του Δήμου, που με βάση το νόμο καταργήθηκε ακολούθως και πέρασε η αρμοδιότητα της ανακύκλωσης στον Δήμο και η λειτουργία του ΧΥΤΑ πέρασε στην ευθύνη του περιφερειακού Φορέα.

Ο Δήμος μας κατέβαλε ετησίως ένα ποσό στον ΦΟΔΣΑ περίπου ένα ποσό 400 χιλ. ευρώ, που αφορούσε την ανακύκλωση και τη λειτουργία του ΧΥΤΑ. Δεν δίναμε όμως τόσα για όλο τον χρόνο και ο ΧΥΤΑ “κόστιζε” γύρω στις 250 χιλ. ευρώ. Πλέον την ανακύκλωση την “τρέχει” ο Δήμος με προσωπικό που προσλαμβάνει ή τα επόμενα χρόνια από τον ανάδοχο που θα προκύψει από διαγωνισμό και τη λειτουργία του κυττάρου ο περιφερειακός Φορέας με τα χρήματα που θα πρέπει να του καταβάλουμε.

Υπενθυμίζω πως ο Δήμαρχος είχε εκφράσει αρχικά την αντίθεσή του στη δημιουργία του περιφερειακού Φορέα μαζί και με άλλους Δημάρχους του Νοτίου Αιγαίου. Αυτό δεν έγινε σεβαστό. Από εκεί και μετά, προσπαθήσαμε να έχουμε και έχουμε μία συνεργασία γιατί η λειτουργία του ΧΥΤΑ είναι κάτι σημαντικό και από οικονομικής και από περιβαλλοντικής πλευράς. Σε κάθε περίπτωση έχω πει πως τα χρήματα που θα καταβάλλει ο Δήμος προς τον Περιφερειακό ΦΟΔΣΑ θα πρέπει να αιτιολογούνται και μάλιστα με βάση τις δαπάνες που κάνει ο περιφερειακός Φορέας. Κι αυτό καθώς εμείς δίνουμε λογαριασμό στους δημότες κατ΄ έτος και λέμε για παράδειγμα ότι φέτος έχουμε τη δυνατότητα να έχουμε μειωμένα τέλη γιατί κάναμε αυτές τις δαπάνες – και μέσα σε αυτές τις δαπάνες είναι και η λειτουργία του ΧΥΤΑ. Αν τυχόν υπάρξει αύξηση του κόστους λειτουργίας του, θα μετακυλήσει ένα σημαντικό βάρος στους δημότες.”.

  • Σήμερα έχετε σαφή εικόνα για το τί θα ζητήσει ο Περιφερειακός ΦΟΔΣΑ από τον Δήμο; Ποιο είναι το ακριβές ποσό για το 2021 και για το 2022;

“Τα δημοτικά τέλη όπως τα καθορίσαμε για το 2022 που δεν περιλαμβάνουν κάποια αύξηση, η λογική πάνω στην οποίαν στήθηκαν ήταν τα τέλη λειτουργίας που είχε ψηφίσει η Γενική Συνέλευση του περιφερειακού Φορέα, τον Αύγουστο του 2021. Τα συγκεκριμένα τέλη παρότι ήταν αυξημένα κάναμε μία διαχείριση ώστε να μπορεί ο Δήμος να τα καλύψει και για το 2021 και για το 2022.

Διαφήμιση

Παράλληλα, κάναμε και τεχνικές προτάσεις που θα μπορούσαν να προκαλέσουν όφελος όχι μόνον για τον δικό μας Δήμο, αλλά και για τους υπόλοιπους Δήμους του Νοτίου Αιγαίου.

Η εικόνα του ποσού που έχουμε και έχει ψηφίσει η Γενική Συνέλευση τον Αύγουστο του 2021 για το τρέχον έτος είναι 600 χιλ. ευρώ.”.

  • Υπάρχει περιθώριο κινήσεων από τη Δημοτική Αρχή για να ελεγχθεί αυτό το κόστος σήμερα, στο τωρινό καθεστώς; Και αν ναι, ποιες είναι αυτές;

“Συγκεκριμένα έχουμε πει για την επιβάρυνση που θα προκαλούνταν, την οποίαν ο περιφερειακός Φορέας μετέφερε στους Δήμους όσον αφορά τον ΦΠΑ μελετών και έργων για την κατασκευή νέων κυττάρων – πολύ μεγάλα και σημαντικά ποσά – τα οποία υπήρχε η δυνατότητα να μην τα επιβαρυνθούν οι Δήμοι, παρότι θυμίζω ότι στην αρχική πρόταση που πέρασε εν γένει από τη Γενική Συνέλευση, ο περιφερειακός ΦΟΔΣΑ μετακυλήει αυτό το κόστος στους Δήμους και κατ΄ επέκταση στους δημότες. Εκεί ακριβώς έχουμε παρέμβει. Έχουμε ζητήσει αυτό το κόστος να μην μετακυληθεί στους Δήμους γιατί υπάρχει η τεχνική δυνατότητα αυτό να μην “πέφτει” στους Δήμους. Το ένα κομμάτι είναι αυτό.”.

  • Αυξημένο είναι και το ποσό για το τέλος αποκατάστασης του κυττάρου. Υπάρχει σκέψη και γι αυτό το θέμα;

“Το άλλο πολύ σημαντικό κομμάτι αφορά το τέλος αποκατάστασης του κυττάρου. Πρόκειται για το κόστος που θα πρέπει να αναλάβει ο Δήμος στο τέλος της ζωής του κυττάρου, έτσι ώστε αυτό να πρέπει να αποκατασταθεί. Είναι ένα σημαντικό κόστος το οποίο τα προηγούμενα χρόνια δεν αποταμιευόταν. Ωστόσο και στον φετινό προϋπολογισμό και στον επόμενο, έχουμε αρχίσει και υπολογίσει ένα τέτοιο κόστος, ώστε να μην πέσει απότομα όταν κάποια μελλοντική Δημοτική Αρχή θα χρειαστεί να προχωρήσει στην αποκατάσταση.

Αυτό λοιπόν το κόστος, πιστεύουμε ότι θα πρέπει να μένει στους Δήμους καθώς οι Δήμοι είναι εκείνοι που βάσει του νόμου, έχουν ιδιοκτησία του κυττάρου. Μετά ο περιφερειακός Φορέας κάνει τη διαχείριση με βάση τον νόμο. Αυτό το αποθεματικό πιστεύουμε ότι θα πρέπει να μένει στους Δήμους, έτσι ώστε αν τυχόν κάποια στιγμή διαλυθεί ο περιφερειακός Φορέας, όπως και εν μία νυκτί ήρθε και δημιουργήθηκε, να είναι στο δημοτικό ταμείο. Με τον περιφερειακό ΦΟΔΣΑ δεν ξέρουμε τί γίνεται στο μέλλον. Όμως οι Δήμοι, υπήρχαν, υπάρχουν και θα υπάρχουν. Αυτή είναι η λογική μας και έρχεται να ενισχύσει και αυτό που είπα αρχικά. Ότι τα τέλη καθαριότητας μπαίνουν σε ανταποδοτική βάση. Ο περιφερειακός ΦΟΔΣΑ δεν θα κάνει άμεσα κάποια δαπάνη για την αποκατάσταση του κυττάρου, οπότε, δεν μπορεί να χρεώσει και τους δημότες. Εμείς το έχουμε θέσει εξ αρχής το θέμα και ζητούμε πάντοτε να υπάρχει μία αιτιολόγηση στο κόστος λειτουργιών.”.

  • Στη συζήτηση για τα δημοτικά τέλη είχατε προτείνει ότι θα πρέπει να εξετάσει ο Δήμος, αν το τέλος αποκατάστασης του κυττάρου, θα μπορεί να καλυφθεί από χρηματοδότηση.

“Ναι. Είχα πει ότι θα πρέπει σιγά σιγά να σκεφτούμε το τέλος αποκατάστασης, ενδεχομένως και αν θα ήταν δυνατόν να μπει σε κάποια χρηματοδότηση μελλοντική. Αυτό είναι κάτι που θα πρέπει να δουλέψουμε. Το λέω αυτό επειδή υπάρχουν Δήμοι και περιοχές που δεν έχουν ΧΥΤΑ, είχαν μία περιβαλλοντική διαχείριση που είχε μικρότερο οικονομικό κόστος και από αυτό επωφελήθηκαν μολύνοντας το περιβάλλον, ενώ εμείς που φροντίσαμε σαν νησί, σαν Σύρος να έχουμε ένα κύτταρο και να γίνεται μία καλύτερη διαχείριση, στο τέλος θα κληθούμε να επιβαρυνθούμε... Άρα, θα πρέπει να διερευνηθεί αυτή η ιδέα – πρόταση και να δουλευτεί για να προχωρήσει. Είτε μέσα από ΠΔΕ, είτε μέσα από ΕΣΠΑ να καλυφθεί αυτό το κόστος του τέλους αποκατάστασης του κυττάρου, γιατί αυτό επηρεάζει άμεσα τα τέλη που θα χρεώσει ο περιφερειακός Φορέας και εν τέλει τα τέλη που θα πληρώσουν οι δημότες.”.

  • Eίστε σε επαφή με άλλους Δήμους για τα συγκεκριμένα θέματα;

“Είμαστε σε επικοινωνία με άλλους γειτονικούς Δήμους για να δούμε πώς αντιμετωπίζουν το συγκεκριμένο θέμα. Εμείς είμαστε από τους πρώτους Δήμους που είτε λόγω κόστους, είτε λόγω οργάνωσης, ο ΧΥΤΑ μας πέρασε στον περιφερειακό Φορέα άμεσα. Αυτό δεν έχει συμβεί σε όλο το Νότιο Αιγαίο. Οπότε αυτά τα ζητήματα τα χειριζόμαστε από την πρώτη στιγμή.

Προς το παρόν ό,τι έχει ζητηθεί από τον περιφερειακό φορέα κοιτάζουμε να διευθετηθεί και να προχωρήσει, στη λογική ότι τα προβλήματα, δεν είναι ότι μπορούν να λυθούν πάντοτε και όλα από τη Ρόδο. Εμείς είμαστε εδώ. Αν τυχόν κάτι πάει στραβά στο κύτταρο, εμείς θα πρέπει να πάμε να δώσουμε την άμεση λύση. Αυτό έχουμε στο μυαλό μας και αυτό κάνουμε μέχρι τώρα.”.

  • Η πρόταση για τη λειτουργία του ΧΥΤΑ το 2022 περιλαμβάνει ποσό πολύ αυξημένο συγκριτικά με ό,τι ζητείται για το 2021; Αν ναι, αυτό είναι διαχειρίσιμο από πλευράς Δήμου;

“Κάθε αύξηση θα πρέπει να αιτιολογείται. Δεν γίνεται ο Δήμος όσο διαχειριζόταν την όλη λειτουργία του ΧΥΤΑ και της ανακύκλωσης να έχει ένα συγκεκριμένο κόστος και αυτό να έρχεται να διπλασιάζεται και να τριπλασιάζεται. Αυτό θα πρέπει να αιτιολογηθεί προς τους δημότες.

Σε επαφή μας με τους άλλους Δήμους βλέπουμε μάλιστα πως τέτοια κόστη δεν έχουν υπολογιστεί στους προϋπολογισμούς από τα Δημοτικά Συμβούλια. Ακόμη και η Σαντορίνη που έκανε αύξηση 25% και εισπράττει από καταστήματα και μεγάλες ξενοδοχειακές επιχειρήσεις, δεν το έχει υπολογίσει.

Αν η Γενική Συνέλευση του περιφερειακού Φορέα έρθει να αυξήσει αυτό το κόστος, αυτό είναι μη διαχειρίσιμο από τους Δήμους, όπως και από τον δικό μας. Η πρόταση για το 2022 είναι πάνω από 1 εκατ. ευρώ. Αλλά γι αυτό θα πάρει απόφαση η Γενική Συνέλευση. Αν ισχύσει αυτή η πρόταση, θεωρώ πως είναι μη εφικτή. Αυτό το θέμα δυστυχώς αφορά όλο το Ν. Αιγαίο. Επειδή όμως οι δημότες πληρώνουν, πρέπει να πούμε ότι ακριβώς γι αυτό πρέπει να τεκμηριώνεται η κάθε δαπάνη. Θα πρέπει να αιτιολογείται το κόστος από τον Φορέα και απολογιστικά. Δεν μπορούμε να δίνουμε χρήματα αόριστα. Αλλά όπως προείπα, να αιτιολογούνται και οι όποιες αυξήσεις ζητούνται αρχικά.”.